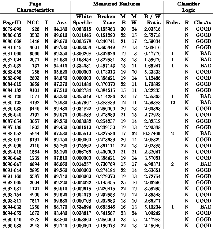
Classifier Results for Magazine Dataset
Next: References
Up: No Title
Previous: Classifier Results for







Observations:
- PageID.
- Identification code for the page (internal to ISRI).
- NCC.
- Number of connected components.
- T.
- Page contains tables (Y/N).
- Acc.
- Median OCR accuracy as used for the experiment.
- White Speckle.
- Value of the white speckle factor for the page.
- Broken Zone.
- Value of the broken zone factor for the page.
- MB.
- Maximum average size (width or height) for black connected
components.
- MW.
- Maximum average size (width or height) for white connected
components.
- B/W Ratio.
- Number of black CC to white CC ratio.
- Rules.
- Rules triggered in case of a ``BAD'' classification.
- R.
- Page considered a ``reject'' (Y/N).
- ClasAs.
- Page classified as (GOOD/BAD).